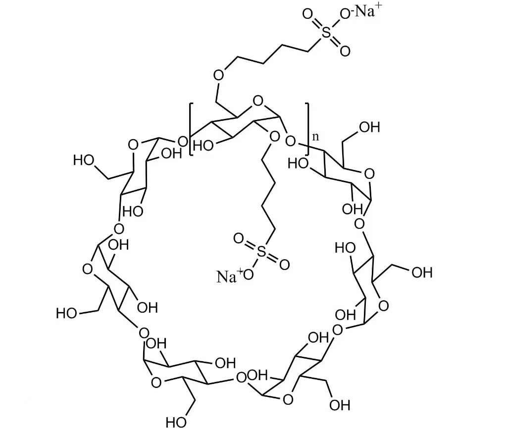
Високоякісний бетадекс сульфобутилового ефіру натрію (SBE-β-CD)-Циклодекстриновий експієнт циклодекстрину-CAS 182410-00-0. Покращує розчинність, стабільність та біодоступність.
	 
 
	
Betadex Sulfobutyl Ether натрію (SBE-β-CD)-Циклодекстриновий ґрунт Pharma-CAS 182410-00-0
	
Зовнішній вигляд: Білий порошок, солодкий, невмілий і нешкідливий
	
Термін зберігання: 36 місяців
	
Клас: клас ін'єкцій
	
Застосування: Pharmaceuticals Feild
	
Стандарт: USP, EP
	
Розчинність: ≥100 (25 ℃, g/100мл)
	
Хеві метал: ≤0,0025%
	
Зменшення цукрів: ≤0,05%
	
	
Фармацевтичний допоміжний фактор сульфобутилатера-β-циклодекстрину не тільки може підвищити розчинність наркотиків, підвищити стабільність та безпеку препарату, це може зменшити стимуляцію до місця введення введення, препарат швидко досягає необхідної концентрації крові, продовжуючи час дії наркотиків.
	
Інтраназальний препарат, що має швидке всмоктування, швидку діяльність, висока біодоступність, зручне введення, легко прийняти пацієнтів і може уникнути спочатку проходження печінки та інших переваг, став однією з точок доступу до фармацевтичних досліджень. Однак, через низьке проникнення носового препарату, багато ферментів у носовому порожнині можуть спричинити деградацію та адгезію носа.
	
Сульфобутилтер-β-циклодекстрин фармацевтичний допоміжний засіб-це натрієва сіль, що утворюється, коли бетадеекс алкілатується лактоном 1,4-бутансульфонової кислоти в лугових умовах. Це аніон, високорозчинна похідна Betadex. Фармацевтичний допоміжний фактор сульфобутилатера-β-циклодекстрину може добре поєднуватися з молекулами препарату для утворення нековаленту, тим самим підвищення стабільності, розчинності води та безпеки препарату, зниження його ниркової токсичності, ослаблення препарату, контролюють швидкість вивільнення лікарських засобів, покриття неприємного запаху тощо.
	
	
	 
 
	
Xi'an Deli Biochemical Industry Co., Ltd. -це високотехнологічне підприємство, що спеціалізується на дослідженнях та розробках, виробництві та продажах циклодекстрину та його похідних.
З моменту свого створення 27 серпня 1999 року компанія дотримується політики якісної політики "зосередження уваги на аксесуарах, першому, щирому сервісі, прагнення до першого класу". Після більш ніж 20 років наполегливої праці та розвитку, в даний час компанія має продукти Deli Brand HydroxyPropyl Betadex, Deli Brand Betadex Sulfobutyl Ether натрію. Наведені вище продукти були зареєстровані та подані до FDA.
	
	