Сульфобутиловий ефір бета циклодекстрин натрію порошок
IMG
VIDEO

Сульфобутиловий ефір бета циклодекстрин натрію порошок

Сульфобутиловий ефір бета циклодекстрин натрію порошок
Номер CAS: 182410-00-0
Зовнішній вигляд: аморфний порошок від білого до майже білого
Клас: розчин для ін’єкцій / фармацевтична допоміжна речовина
Аналіз: ≥ 99,0% (на безводній основі)
Розчинність: добре розчинний у воді
Бактеріальні ендотоксини: ≤ 10 EU/г
Виконавчий стандарт: USP / EP / ChP

Надіслати запит

Опис продукту


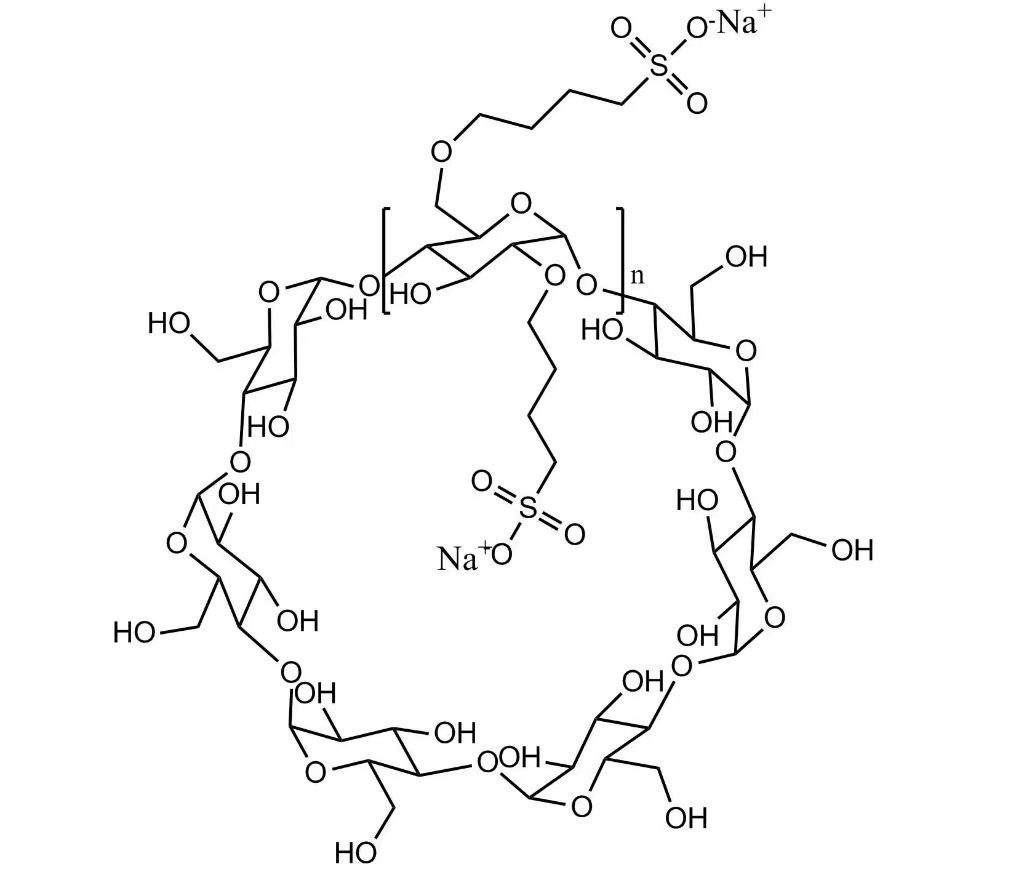
Що таке порошок натрію сульфобутилового ефіру бета-циклодекстрину?


Сульфобутиловий ефір бета циклодекстрину натрію Powder - це високорозчинна у воді аніонна похідна β-циклодекстрину, яка використовується як фармацевтичний наповнювач. Його отримують шляхом хімічної модифікації бета-циклодекстрину групами сульфобутилового ефіру в контрольованих лужних умовах, що призводить до отримання натрієвої солі з відмінними властивостями розчинення.

Ця допоміжна речовина для ін’єкцій розроблена для утворення стабільних нековалентних комплексів включення з важкорозчинними активними фармацевтичними інгредієнтами (API). Завдяки інкапсуляції молекул ліків, порошок сульфобутилового ефіру бета циклодекстрину натрію значно покращує розчинність, стабільність і біодоступність ліків, одночасно зменшуючи місцеве подразнення, гемоліз і токсичність для нирок.

Завдяки своєму високому профілю безпеки та сильній комплексотворчій здатності порошок сульфобутилового ефіру бета-циклодекстрину натрію широко використовується у парентеральних фармацевтичних композиціях, зокрема для протигрибкових, противірусних, онкологічних та серцево-судинних ін’єкційних препаратів. Він відповідає основним фармакопейним стандартам, таким як USP і EP, і підходить для клінічних і комерційних фармацевтичних застосувань.


Специфікація порошку сульфобутилового ефіру бета-циклодекстрину натрію


Продукт намене
Сульфобутиловий ефір бета циклодекстрину натрію
Номер CAS
182410-00-0
Зовнішній вигляд Білий або майже білий гігроскопічний порошок.
Executive Standard USP / EP / ChP
Упаковка 500 г/пакет; 1 кг/мішок; 10 кг/мішок; 10 кг/бочка
Синоніми SBE-β-CD; сульфобутиловий ефір бета-циклодекстрин; Бетадекс Сульфобутиловий ефір натрію
АНАЛІЗ ≥99%
Бактеріальні ендотоксини
≤10ЄС/г
MOQ 1 кг


Сульфобутилефір бета циклодекстрин натрію порошок COA


Яке використання та переваги сульфобутилового ефіру бета-циклодекстрину (SBECD)?

1. Використання сульфобутилового ефіру бета-циклодекстрину (SBECD)

Сульфобутиловий ефір бета-циклодекстрин (SBECD) в основному використовується як фармацевтичний наповнювач, особливо в:


  • Ін'єкційні (парентеральні) лікарські форми
  • Офтальмологічні (очні) препарати
  • Назальна та легенева системи доставки ліків
  • Склади слаборозчинних АФІ, таких як протигрибкові, противірусні, протипухлинні та серцево-судинні препарати


2. Переваги сульфобутилового ефіру бета-циклодекстрину (SBECD)


  • Значно покращує розчинність у воді малорозчинних препаратів
  • Підвищує стабільність препарату шляхом утворення нековалентних комплексів включення
  • Покращує безпеку ліків, особливо для ін’єкційних форм
  • Зменшує ниркову токсичність порівняно з деякими традиційними солюбілізаторами
  • Мінімізує гемоліз і подразнення місця ін’єкції
  • Контролює швидкість вивільнення ліків, покращуючи терапевтичний ефект
  • Маскує неприємний запах або смак АФІ
  • Висока розчинність у воді та низька токсичність, підходить для парентерального застосування

Чому обирають нас?


Понад 20 років виробничого досвіду

Маючи більш ніж два десятиліття досвіду у виробництві циклодекстрину та похідних циклодекстрину, Xi’an Deli Biochemical Industry Co., Ltd. створила солідну репутацію за якість продукції, стабільність процесу та надійне постачання.


Масштабне та стабільне виробництво

Ми керуємо промисловими виробничими лініями з річною потужністю 500 тонн Hydroxypropyl Betadex і 200 тонн Betadex Sulfobutyle Ether Sodium, що забезпечує стабільне постачання для довгострокового комерційного та клінічного застосування.


Гарантія якості фармацевтичного рівня

Наша продукція виробляється відповідно до суворої системи управління якістю з виділеною чистою зоною класу D, розробленою відповідно до вимог фармацевтичного виробництва. Всебічне тестування в процесі виробництва та кінцевого продукту забезпечує чудову узгодженість від партії до партії.


Розширені аналітичні та тестові можливості

Оснащена сучасними аналітичними приладами, такими як ВЕРХ, ГХ, ІХ, капілярний електрофорез, FTIR та тестування з підтримкою ЯМР, наша лабораторія здатна відповідати фармакопейним вимогам USP, EP та ChP, підтримуючи розробку препаратів і відповідність нормативним вимогам.


Регуляторна підтримка та досвід світового ринку

Наші ключові продукти, включаючи гідроксипропілбетадекс і бетадекссульфобутиловий ефір натрію, були зареєстровані та подані в FDA, що демонструє наш досвід підтримки клієнтів на глобальних фармацевтичних ринках.


Технічна підтримка, орієнтована на клієнта

Ми надаємо професійну технічну підтримку, допомогу в документації та вказівки щодо рецептури, тісно співпрацюючи з клієнтами від ранньої розробки до довгострокових комерційних поставок.


Кваліфікація компанії

Сертифікати Xi’an Deli Biochemical Industry Co., Ltd.

Протягом багатьох років компанія Xi’an Deli Biochemical Industry Co., Ltd. постійно прагне оптимізувати виробничий процес і створити комплексну систему управління якістю для циклодекстринів та їх похідних.


FAQ

1. Ви виробник чи торгова компанія?

Ми є професійним виробником, що спеціалізується на циклодекстрині та похідних циклодекстрину. Усі продукти виробляються на нашому власному заводі в Сіані, Китай.


2. Які ваші основні продукти?

Нашою основною продукцією є гідроксипропілбетадекс (HPBCD) і бетадекс сульфобутиловий ефір натрію (SBECD), які широко використовуються як фармацевтичні допоміжні речовини, особливо в ін’єкційних і пероральних формах.


3. Чи відповідає ваша продукція фармакопейним стандартам?

так Наша продукція відповідає вимогам USP, EP та Китайської фармакопеї. Повні сертифікати аналізу (COA) надаються з кожною партією.


4. Ви постачаєте ін’єкційні матеріали?

так Ми спеціалізуємося на похідних циклодекстрину для ін’єкцій із суворим контролем домішок, ендотоксинів і консистенції від партії до партії.


5. Яка ваша виробнича потужність?

Hydroxypropyl Betadex: 500 метричних тонн на рік

Betadex Sulfobutyle Ether Sodium: 200 метричних тонн на рік


6. Чи надаєте ви зразки для оцінки?

так Безкоштовні зразки доступні за запитом для розробки рецептури та тестування.


7. Чи можете ви підтримувати довгострокові комерційні поставки?

так Маючи великомасштабні виробничі лінії та стабільні системи якості, ми підтримуємо довгострокові та комерційні постачання для глобальних фармацевтичних клієнтів.


8. Яких систем якості ви дотримуєтеся?

Ми працюємо відповідно до стандарту ISO 9001:2015, підтримуємося сучасним аналітичним обладнанням і спеціальною лабораторією контролю якості, щоб забезпечити послідовність і відповідність продукції.



Гарячі теги: Sulfobutylether Beta Cyclodextrin Sodium Powder, виробники, постачальники, Китай, фабрика, оптом, безкоштовний зразок, зроблено в Китаї, в наявності, оптом, купити

Пов'язана категорія

Надіслати запит

Будь ласка, надішліть свій запит у формі нижче. Ми відповімо вам протягом 24 годин.
icon
X
Ми використовуємо файли cookie, щоб запропонувати вам кращий досвід перегляду, аналізувати трафік сайту та персоналізувати вміст. Використовуючи цей сайт, ви погоджуєтеся на використання файлів cookie. Політика конфіденційності
Відхиляти прийняти